文章题目:Long-Term Fertilization Shapes the Putative Electrotrophic Microbial Community in Paddy Soils Revealed by Microbial Electrosynthesis Systems
微生物电合成系统揭示长期施肥对水稻土壤中假定的电养微生物群落的影响
文章出处:Environ Sci Technol, 2021, 55: 3430-3441.北京中国科学院生态环境科学研究中心城市与区域生态学国家重点实验室;浙江省城市环境过程与污染控制重点实验室,中国科学院宁波城市环境观测研究站
工作站使用情况:Concept 400 使用气体浓度:厌氧
摘要:电养生物是一种微生物,可以从外部固相导电基质(如亚铁矿物和电极)中吸收电子进入细胞,然后将电子转移到末端电子受体,如二氧化碳(CO2)和硝酸盐(NO)。例如,脱氮硫杆菌是一种已知的电生物,可以从电极或铁矿物(如黄铁矿)中接受电子,并通过脱氮作用减少一氧化氮,从而去除过量的一氧化氮。电养生物在生物地球化学循环中起着重要作用,但长期施肥对水稻土电养群落的影响尚不清楚。在这里,作者利用微生物电合成系统、高通量定量聚合酶链反应和基于16s rRNA 基因的Illumina 测序技术,探索了水稻土微宇宙中电养群落对不同长期施肥措施的反应。与未施肥土壤(CK)相比,仅施用粪肥(M)化学氮肥、磷肥和钾肥(NPK)、M plus NPK (MNPK)明显改变了电养细菌的群落结构。放线菌门的链霉菌属是CK、M 和MNPK 土壤中的优势电生菌。后两种土壤也有利于嗜热厌氧菌(栖热菌)和变形菌(硫碱螺旋菌)的生长。此外,变形杆菌属的假单胞菌和厚壁菌属的芽孢杆菌是NPK 土壤中的主要电生菌。这些电生物消耗与硝酸盐还原相结合的生物电流,并通过异化硝酸盐还原为铵(DNRA)回收18-38%的电子。电势诱导的DNRA nrfA 基因丰度的增加进一步支持了所有土壤中的电生生物增强了DNRA。这些扩展了我们对电养生物多样性及其在水稻土氮素循环中的作用的认识,并强调了施肥在塑造电养生物群落中的重要性。

Figure 1. Current densities in MES (a) and abiotic MES (b) treatments for all examined paddy soils during the 35 day incubation. The negative value indicates the amounts of electrons received from cathodes. CK: an unfertilized soil; M: asoil receiving only cattle manure; NPK: a soil receiving chemical nitrogen, phosphorus, and potassium fertilizers; and MNPK: a soil receiving M combined with NPK. The same convention has been used in other figures.

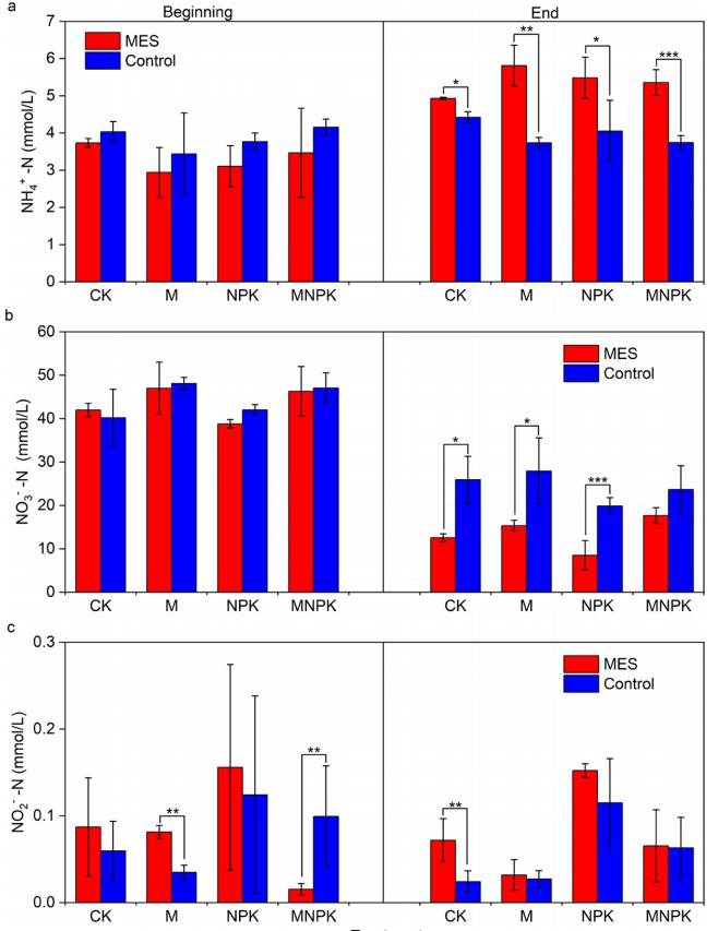
Figure 2. Concentrations of NH4+−N (a), NO −−N (b), and NO −−N (c) in MES and Control treatments at the beginning (day 0) and the end (day 35) of incubation for all examined paddy soils. The error bar indicates the standard deviation of three replications. Statistical analyses were performed for the difference between the MES and Control treatments for each paddy soil using t-test. Significance is represented by P value: *P < 0.05, **P < 0.01, ***P < 0.001.
微生物预培养、微生物电合成系统及所有操作均在厌氧条件(N2/H2/CO2(90:10:10,v/v))下进行;
在35 天的培养过程中,在0.4 V 下监测MES 和非生物MES 处理中的电流消耗。对于未施肥土壤(CK)和所有施肥土壤(M、NPK 和MNPK),MES 处理的电流消耗明显高于非生物MES 处理(图1),表明电养生物的成功富集,因为它们能从阴极吸收电子来产生电流;
在第0 天开始,MES 与对照组NH4+浓度及NO3− 浓度无显著性差异(图2a,b);35 天后(培养结束时),对所有土壤,NH4+浓度在MES 处理中显著增加,而NO3− 浓度在MES 处理中显著降低(图2C),表明NO3−发生阴极还原。